Думать шагом
This project is a student project at the School of Design or a research project at the School of Design. This project is not commercial and serves educational purposes

V

Покидая постгуманистический фокус интерлюдии, где фигура киборга помогала осмысливать переплетение телесного и цифрового, мы переходим к эмпирическому уровню анализа. Предыдущие главы сформировали онтологический каркас: от телесных основ мышления — через распределённые сети объектов и спекулятивную автономию вещей — к этике со-бытия.

big
Original size 2880x1620

Теперь этот каркас проявляется в практике ходьбы — повседневном телесном действии, в котором шаг становится способом ориентироваться, воспринимать и принимать решения, а цифровые инструменты вводят дополнительные слои данных и внимания. Здесь философские идеи встречаются с культурными сценариями и технологиями, показывая, как прогулка превращается в смешанный телесно-цифровой процесс.

И именно в этом контексте возникает связь с приложением «Duma» — средой, в которой мышление в движении становится наблюдаемой, структурируемой и аналитически доступной практикой.

I. Ходьба как мышление

Ходьба, как фундаментальная практика воплощенного познания, раскрывает мышление как процесс динамичного взаимодействия тела с миром. В контексте нашего исследования, где цифровые объекты расширяют разум, но рискуют его подменой через контингентные гиперобъекты, прогулка предстает как этическая практика со-становления. Она позволяет задержаться в фрикциях между телом и средой, превращая шаг в акт рефлексии.

big
Original size 2880x1620

Культурные и антропологические нарративы углубляют эту перспективу. Они показывают, как блуждание по городу или природе становится способом переосмысления субъективности в эпоху цифровых сетей. От викторианского фланирования до современных исследований ходьба иллюстрирует, как движение генерирует мысль, соединяя телесное с социальным и технологическим.

Мы пройдемся по этим нарративам, выстраивая хронологию мысли: от истоков городской прогулки как поэзии тела к её теоретизации как сопротивления, антропологическому углублению, философскому акценту на жестах и, наконец, эмпирическому подтверждению креативного потенциала.

Шаги поэта

Виктор Фурнель в своей работе «Ce qu’on voit dans les rues de Paris» («Что видят на улицах Парижа», 1867) представляет фланирование не как праздное времяпрепровождение, а как телесно-опосредованный способ познания, где улицы Парижа становятся живым текстом, читаемым через ритм шагов и скольжение взгляда.

Он сравнивает фланёра с «подвижным и страстным дагерротипом» («un daguerréotype mobile et passioné»), способным фиксировать изменчивость Парижа. Фурнель призывает «скользить по улицам, дыша ветром, руки в карманах…отдавая все чувства и весь ум этому зрелищу», словно каждый шаг становился экспозицией, запечатлевающей урбанистическое видение.

Original size 2880x1316

Анри Картье-Брессон (1908-2004) Его подход к блужданию по улицам в ожидании «решающего момента» тесно связан с концепцией фланёра.

Он одновременно показывает, что фланирование — это форма чтения города: улица действует как живой текст, где каждая витрина, отражение или жест прохожего — часть движущегося нарратива. Уже здесь Фурнель подчеркивает, что город сам «пишет себя» через движение тех, кто его проходит.

Original size 4107x2088

Эжен Атже — Париж, 1926

Фурнель подчёркивает, что такая форма восприятия требует особого режима письма — он называет его «style pédestre», пешечным стилем. В нем мысль должна соответствовать движению. Он прямо говорит, что наблюдения, сделанные на ходу, обладают иным качеством — ритм фразы должен следовать ритму шага.

Так Фурнель сближает фланёра с Горацием, которого он называет «великим гулякой древности»: поэт, создающий стихотворный ритм из движения по городу. Эта связь между телом и мыслью закладывает у Фурнеля раннюю форму того, что сегодня описывают как embodied cognition — мышление, возникающее из шага, дыхания, микровибраций тела в пространстве.

Original size 4107x2088

Эжен Атже — Париж, 1926

Флâneur, по Фурнелю, — это тот, чьи неторопливые перемещения превращают беспорядок городской повседневности в опыт понимания. Для него и тех, кто писал о городе позже, эта фигура — «поэт шага»: человек, выводящий смысл из ритма собственных движений.

«Фланёр — это поэт, который сочиняет свои стихи ногами»

— Франсуа-Виктор Фурнель, Что видят на улицах Парижа

При этом Фурнель подчёркивает, что фланёр — не растворённая в толпе фигура. В книге он специально противопоставляет его фигуре badaud — «зеваке». Если фланёр сохраняет индивидуальность и способность к размышлению («observe et réfléchit»), то badaud растворяется в зрелище. Он становится «одним из элементов толпы», теряя способность мыслить. Это различие важно для понимания фланирования как когнитивного процесса: фланёр удерживает дистанцию внутри участия, он в толпе, но не принадлежит ей. Его шаг — способ сопротивления растворению.

Фланер & Зеваки

Также, Фурнель описывает фланера как моральную фигуру: чтобы увидеть город по-настоящему, нужно обладать честностью восприятия, «долей наивности и открытости», способностью удивляться. Это качество он считает необходимым для правильного наблюдения, почти как для научного эксперимента, где «настроенными» должны быть тело, взгляд и сердце.

Так проявляется incarnate cognition — мысль, формирующаяся через тело, буквально прописанная ходьбой:

«Тело — это наше основное средство общения с миром»

— Мерло-Понти М., Феноменология восприятия

Фурнель подчёркивает, что фланёр читает город как театр под открытым небом. Улица у него описана как «lanterne magique», волшебный фонарь, в котором сцены сменяют друг друга с каждым шагом. Он рассматривает вывески, слушает органчики, наблюдает за букинистами, всматривается в лицевые жесты прохожих. Для Фурнеля эта плотность сенсорных импульсов становится материалом для мышления.

Он даже отмечает, что фланёр способен распознать «микро-драмы» — короткие, почти неуловимые сцены, которые исчезают быстрее, чем можно их описать. Именно эти мгновения, пишет он, составляют «истинную хронику города».

Original size 2880x1631

Разные «микро-драмы» в одном кадре города

В спекулятивном ключе фланирование соприкасается с контингентностью: каждый поворот может привести к непредсказуемому открытию, подобно алгоритму, навязывающему маршрут. Однако Фурнель подчёркивает: фланёр не следует структуре города, а сопротивляется ей. Прогулка — это анти-метод, практика, существующая благодаря случайности, отклонению и ритму тела. Этим она предвосхищает постгуманистические союзы, в которых субъект возникает из взаимодействия тела и пространства.

В визуальных образах фланёр — фигура в цилиндре, растворённая в потоке улицы, подчеркивая вязкость городской среды как гиперобъекта.

Original size 2880x1631

Роберт Франк — The Americans, 1950

Роберт Франк — The Americans

В том же ключе Роберт Франк в серии «The Americans» (1950) движется камерой вместе с телом: он снимает не отдельные объекты, а отношения между ними — жесты прохожих, отблески света, ритмические пульсации улиц. Франк превращает страну в «карту аффектов», собранную движением, — каждая фотография становится следом шага, мгновенной записью телесного восприятия. Как отпечаток на песке фиксирует пройденный путь, так след Франка на снимке фиксирует поток ощущений, порожденных движением.

Роберт Франк — The Americans, 1950

Фурнель замечает, что фланирование производит «полезные результаты наблюдения». Город, увиденный на ходу, раскрывает экономику, социальные связи, ритмы труда и досуга, типологию лиц — всё, что остаётся невидимым при целевом, функциональном передвижении. Фланёр становится своего рода «этнографом без тетради», собирающим знания непосредственно телом. Для него город это инфраструктура мысли, и движение — ключ к её активации.

Original size 2880x1631

Роберт Франк — The Americans, 1950

Эти размышления о поэзии шагов подводят нас к урбанистическому анализу: городу как активному преобразователю аффектов и восприятия.

Вихрь метрополиса

Георг Зиммель в эссе «Большие города и духовная жизнь» (1903) углубляет анализ, рассматривая, как урбанистический ритм трансформирует восприятие и аффекты, рождая «blasé attitude» (блазированность) — эмоциональную индифферентность как защиту от переизбытка стимулов:

«Сущность блазированности есть притуплённость восприятия различия вещей…значение и ценность разницы между вещами, а потому и сами вещи кажутся ничтожными»

— Георг Зиммель, Большие города и духовная жизнь

Зиммель показывает, что мегаполис формирует особый тип психической организации — интеллектуалистическую, выстроенную как защитную оболочку. Житель большого города оказывается погружён в непрерывный поток стимулов: «rapidly shifting images, violent stimuli, sudden contrasts».

Чтобы выжить в этой интенсивности, сознание поднимается в «верхние этажи психики», в сферу рассудка:

Вместо эмоций вычисление Вместо реакции дистанция Вместо вовлечённости сдержанность

Original size 2880x1631

Стратегия выживания в мегаполисе: поднявшись над потоком стимулов, оставаясь собой и не вовлекаясь в каждое событие, человек сохраняет свободу и автономию.

Эта сдержанность — ключевая, часто забываемая характеристика Зиммеля. Это структурная необходимость: без неё человек бы «растворился» в бесконечности контактов мегаполиса. Сдержанность спасает от перегрузки, но одновременно производит отчуждение: мы не знаем соседей по лестничной клетке, и эта дистанция — форма автономии.

Original size 2880x1631

«Тихий коридор мегаполиса»

«Эта сдержанность…доставляет индивиду такую личную свободу и в таких больших размахах, что к этому нельзя привести никакой аналогии из другой области»

— Георг Зиммель, Большие города и духовная жизнь

Еще одна важная мысль: гипертрофия объективной культуры. Город переполнен институциями, зданиями, инфраструктурой, техниками, знаниями — культура кристаллизуется вовне, в вещах. Личность не успевает за этой гонкой, субъективная культура отстаёт от объективной. Отсюда двойственный эффект: с одной стороны, город освобождает — даёт анонимность, свободу выбора, «пространство самости»; с другой — подавляет своими масштабами, делая человека «одной шестерёнкой» в огромной машине.

Original size 4107x2088

«Маленький город…клал личности пределы, — пределы, в которых современный человек задохнулся бы» … «В больших городах…личность, можно сказать, совсем бессильна перед подавляющей массой кристаллизованного, обезличенного духа»

— Георг Зиммель, Большие города и духовная жизнь

Original size 4107x2088

Чтобы удержаться на поверхности, горожанин вынужден изобретать стратегии самовыделения. Зиммель пишет, что в мегаполисе возникают «strangest eccentricities» — странности как тактики видимости. Индивидуальность становится жестом, стилем, манерой. Это сродни постгуманистическому становлению: субъект собирается из флуктуаций, особенностей, микро-перформансов.

»…это приводит к умышленным чудачествам, к специфическим для большого города экстравагантностям, самообособлению, капризам, претенциозности…»

— Георг Зиммель, Большие города и духовная жизнь

В контексте распределённого мышления город выступает как гетерогенная сеть акторов, где толпа, архитектура и трафик структурируют внимание, подобно цифросредам. Прогулка здесь — акт сопротивления. Она нарушает предзаданные структурой города маршруты и ритмы, позволяя телу вернуть себе чувствительность, сорвать фильтр blasé, вновь настроить сенсорный диапазон. Ходьба становится способом перераспределения внимания: вместо того чтобы подчиняться ритму трафика, человек вырабатывает собственные микроритмы включённости.

Original size 2960x1316

Times Square 2025 & Times Square XX века Оба примера показывают, как визуальная насыщенность формирует «режимы внимания», которые структурируют наше восприятие наподобие алгоритмов.

В постгуманистическом ракурсе это напоминает этику «оставайся с неприятностью» Харауэй: мегаполис — это контактная зона, где трения перегрузки, отчуждения и гиперстимуляции создают новые формы субъектности. Изображения толпы начала XX века показывают, как индивидуальность рассеивается в массе, но одновременно и возникает заново — как фигура, сопротивляющаяся растворению через собственные жесты, походку, ритм.

Теперь, от вихря метрополиса наша мысль плавно переходит к тактикам сопротивления в пространстве, где де Серто превращает ходьбу в речь, подрывая паноптикум власти.

Речь шагов

Мишель де Серто в «По городу пешком» (1984) концептуализирует ходьбу как особую форму речи, где маршрут превращается в нарратив, вписанный в тело города. Его знаменитая оппозиция «взгляд сверху и опыт снизу» задаёт рамку для понимания ходьбы как мышления. Там, где паноптическая перспектива стремится удержать город в виде тотальной карты, ходьба разрушает это видение, разрезая пространство сетью непредсказуемых, тактических линий.

Original size 2880x1631

С высоты город кажется логичным и упорядоченным, хотя в реальности движение по нему — всегда хаос маленьких решений и случайностей.

«Пространственные практики манипулируют, „переворачивают“ элементы некой структуры. Они являются отклонениями от „буквального значения“, определенного системой урбанизма»

— Мишель де Серто, По городу пешком

Пешеход, по де Серто, не просто перемещается или совершает какие-то физические действия, а производит смысл. Каждый шаг создаёт «полевую запись» повседневности, микрожест сопротивления стратегиям власти, которые стремятся зафиксировать движение в заранее предписанных маршрутах. Стратегиям планировщиков, транспортных сетей и алгоритмов навигации противостоит тактика тела: замедления, срезы углов, импульсивные отклонения, остановки — все те малые «нарушения», из которых и складывается неофициальная, аутсорсная картография города.

В этой тактической риторике шагов появляется то, что де Серто называл пространственными историями: маршруты становятся временными текстами, написанными движением, а город превращается не в объект созерцания, а в медиум мышления.

Original size 4107x2088

Маршруты как текст, который тело «пишет» движением. Пространственные истории.

Это эхо акторно-сетевой теории: пешеход — тактик, город — актант, цифровые слои — новые участники композиции. Алгоритм выстраивает идеальный маршрут, но тело не обязано ему подчиняться. Его импровизации создают гибридный нарратив, в котором машина и организм пишут совместный текст.

Именно здесь город начинает функционировать как гиперобъект — распределённое, вязкое образование, которое невозможно охватить взглядом, но можно мыслить через контакт с его сопротивлениями и ритмами. Ходьба становится точкой соприкосновения с этой вязкостью, формой эмпирического мышления в среде, слишком большой, чтобы быть понятый целиком.

Strava: примеры неординарных алгоритмов прогулки.

«Путешествие, как и ходьба — творит корпус новых легенд»

— Мишель де Серто, По городу пешком

Strava: примеры неординарных алгоритмов прогулки.

Размышляя о тактиках повседневности, де Серто подчеркивает: ходьба — это практика свободы внутри структурированного пространства. Она продолжает линию фланёра Фурнеля, но освобождает её от романтической эстетизации и развивает диагноз Зиммеля о blasé-отношении, показывая, что тело способно не погружаться в апатию мегаполиса, а постоянно перерабатывать его в опыт.

В этом смысле ходьба — не бегство от города, а переработка города через себя. Взгляд снизу (взгляд пешехода) подрывает паноптикум, возвращая город телу, а телу — способность думать через движение.

«Риторика ходьбы формирует своё „высказывание“. Пешеход выбирает фрагментарные высказывания, складывает их в необычные, случайные, недопустимые речевые/пространственные обороты»

— Мишель де Серто, По городу пешком

Original size 2880x1139

Эта тактическая речь шагов находит осмысление в антропологической глубине, где Инголд возвращает нас к земле как партнеру в познании.

Следы на земле

В статье «Культура на земле: мир, воспринимаемый через ступни» (2004) Тим Ингольд предлагает заново переосмыслить самый обыденный жест, ходьбу, как фундаментальную форму познания мира. Он показывает, что шаг не является механическим актом передвижения, а представляет собой хаптическое, чувственно вовлечённое взаимодействие с землёй.

Ноги, по его словам, ступни — «органы осязания»: через них мы не просто ощущаем поверхность, но вступаем с ней в диалог. Сама почва отвечает нам сопротивлением, мягкостью, шероховатостью, звуком. И в этом взаимном движении возникает знание, которое невозможно свести ни к абстрактной схеме, ни к зрительной репрезентации.

Original size 2240x1316

Meghna Bhalla — Ступни & руки

«Ступни — это подлинные органы осязания, а ходьба представляет собой форму тактильного взаимодействия с землёй»

— Тим Ингольд, Культура на земле: мир, воспринимаемый через ступни

Original size 2240x1316

Meghna Bhalla — Ступни & руки

Ингольд изменяет привычное разделение на «внутреннее» и «внешнее» знание: познание, утверждает он, происходит не в голове, а между телом и миром.

«„Ориентироваться в пути“ — это не вычислительная операция, совершаемая до отправления, а нечто тождественное самому нашему движению в мире. Мы узнаём, идя, — а не до того, как отправиться»

— Тим Ингольд, Восприятие окружающей среды

Когда мы идём, мы не следуем заранее составленной карте, а создаём её шагами. Тропа предстает как длительное сплетение человеческих и нечеловеческих перемещений: здесь прошли животные, там промыла вода, там же тысячи раз прошли люди. В каждом шаге содержится память многих других шагов, и каждый след — это фрагмент живой линии, тянущейся сквозь время.

Следы становятся текстурой опыта, своеобразным архивом телесных историй, который читается не только глазами, но прежде всего самим движением.

Ричард Лонг — Линия, созданная ходьбой

Эта логика особенно наглядна в работе «Линия, созданная ходьбой» (1967). Художник создаёт изображение не инструментом, а собственными шагами: многократно проходя по земле, он формирует ритмическую линию, которая фиксирует не итог, а сам процесс хождения.

Original size 2880x2172

Ричард Лонг — Линия, созданная ходьбой, 1967

След здесь выступает не остатком движения, а его продолжением — материальной формой временного жеста, в котором тело и поверхность вступают в непрерывный диалог. Такая линия не сообщает о том, «что произошло», — она и есть происходящее, остановленное лишь на мгновение.

«Это не просто следы…в них заключена застывшая навечно динамика»

— Тим Ингольд, Культура на земле: мир, воспринимаемый через ступни

Такие следы нельзя понимать как «информацию», отделённую от действия. Они сами являются событием: отпечаток в грязи, борозда на песке, утрамбованное пятно на тропе — всё это не отложившееся прошлое, а продолжение движения, которое породило их и которое будет дальше ими руководствоваться. Читая след, мы не просто узнаём «что было»; мы вступаем в его линию, продолжаем её. В этом смысле след — не следствие, а момент непрерывного становления, в котором человек и ландшафт формируют друг друга.

Original size 1440x1439

Кит Арнатт — Самозахоронение, 1969

Поэтому Ингольд настаивает: земля обладает собственной агентностью. Она не просто принимает вес тела — она аффордзирует, раскрывает возможности действия. Мягкая почва задерживает шаг, камни требуют осторожного переноса веса, плотный снег изменяет ритм. Восприятие распределено между телом и поверхностью: оно принадлежит не одному из них, а их отношению.

Здесь заметна близость к идее Карен Барад об интра-акции: сущности не существуют заранее отделёнными; они обретают форму в процессе совместного события. Шаг — это не действие одного субъекта, а совместное порождение ноги и земли. След становится местом фиксации этого события.

Original size 2880x1631

Ричард Лонг — Пять камней, 1974

Через оптику Симондона такое отношение можно рассматривать как метастабильное становление: тропа никогда не завершена, она обновляется каждым прохождением. Она сохраняет форму, но эта форма постоянно изменяется. Человек, двигаясь по ней, также находится в становлении: он перенастраивает тело, внимание, ритм, чувствительность к материалу под ногами. Движение становится не способом перехода из точки А в точку Б, а процессом, в котором тело и мир непрерывно перераспределяют друг друга.

Original size 2880x1110

Именно в этом контексте становится понятна идея Эрин Мэннинг о движении как мышлении. Для неё мысль рождается не после движения, а в движении.

Ингольдовская хаптическая антропология подтверждает это: шаги не выполняют заранее сформированную мысль — они сами являются её формированием. Чувствительность к рельефу, к переходам текстур, к вибрации почвы: всё это способы думать через тело. Психический и физический жесты здесь не разделены. Мысль течёт вместе со ступнями.

Original size 2880x1631

Современные технологии, как отмечает Ингольд, могут и усиливать, и ослаблять этот телесный диалог. Карты и интерфейсы, которые представляют пространство «сверху», иногда обрывают связь с поверхностью, превращая путь в абстрактную схему.

Но цифровые устройства могут действовать и иначе, как дополнительный слой внимания. В гибридной прогулке GPS-трекер или AR-указатель не заменяет тактильность, а лишь сопровождает её, если остаётся встроенным в чувственный ритм движения, а не стремится его подменить. В этом случае цифровое становится не барьером, а медиатором и ещё одним способом обнаруживать мир.

Original size 2880x1631

Таким образом, следы на земле показывают, что восприятие — это совместное действие тела и среды. Ходьба превращается в способ мыслить, а поверхность — в собеседника этого мышления.

Ингольд возвращает нас к материальности познания: к хрусту снега, к вязкой глине, к шуршанию травы, к песку, который расползается под ступнёй. Всё это — не просто условия движения, а его соавторы. Ноги становятся сенсорным интерфейсом между человеком и землёй, через который возникает подлинное распределённое знание.

В этом совместном шаге рождаются тропы, следы и карты — всегда временные, всегда открытые для изменений, как сама жизнь, продолжающаяся в каждом следующем шаге.

Мелкие жесты

Эрин Мэннинг в «Ландшафты отношений» (2009) и «Мелкий жест» (2016) развивает мысль о том, что движение — это не результат уже готовой мысли. Наоборот, сама мысль рождается в движении. Она распределена по мелким реакциям тела и среды — микронепрерывностям, напряжениям, смещениям. Если смотреть на жест только как на «действие» или «выражение», эти тонкие процессы становятся невидимыми.

Для Мэннинг движение имеет собственную онтологическую продуктивность: оно создаёт и генерирует новое.

«Это мгновение „ещё до“ никогда не про отдельное движение, а про соотношение между предускорением и самим движением, про бесконечность промежутков, схваченных в состоянии „ещё не“ нашего количественно измеряемого перемещения»

— Эрин Мэннинг, Ландшафты отношений

Original size 4107x2088

Длинная выдержка фиксирует предвестие движения: «призрак» жеста, который уже родился в теле, но ещё не стал перемещением в пространстве. Визуализация того самого мгновения «ещё до».

В этой логике появляется ключевое понятие — minor gesture, «мелкий жест», жест малой интенсивности, едва заметный, пред-актуальный.

Мелкий жест — это то, что возникает до того, как движение стало определённым: легкое смещение центра тяжести, микровибрация плеч, импульс, который не доходит до действия, но успевает изменить структуру события. Он действует так, что открывает пространство для вариации, отклонения, становления. Именно здесь интуиция становится процессом мышления, но презентуется не как субъективное переживание, а сила изменения.

«Мелкий жест действует как мыслительная сила, окрашенная интуицией»

— Эрин Мэннинг, Мелкий жест

Original size 3607x877

Предзвучие, предшаг, предудар, предморгание Четыре состояния, где движение уже началось, но не стало целью. Здесь, в мелком жесте, и рождается новое.

Minor gesture — это не «меньшая» версия большого жеста, а то, что растягивает реальность, создаёт другое направление, другой темп. В «The Minor Gesture» Мэннинг подчёркивает эту точку расхождения:

«Малое не противоположно большому, а является его внутренним, порождающим расхождением»

— Эрин Мэннинг, Мелкий жест

В этом малом движении, его неуловимой интенсивности раскрывается потенциал трансформации. Мэннинг показывает, что мелкие жесты формируют пространство мысли ещё до её концептуализации: мысль возникает как вибрация, колебание, отклонение.

Это глубоко резонирует с идеями процессов становления у Симондона и с интра-акциями Барад: жест не принадлежит одному субъекту, он возникает между телом, поверхностью, воздухом, темпами среды. Minor gesture — это рождение мысли в распределённом событии, а не внутри индивидуального сознания.

Original size 3437x2042

Мужчина идет. Фотогравюра по Эдверду Мейбридже, 1887

В области телесных практик Мэннинг описывает движение как непрерывное сонастройивание чувствительности. Вместо того чтобы подчиняться внешним схемам, тело само формирует и адаптирует мир под себя. Микрокоррекции походки, повороты плеч, тонкие смещения мышечного тонуса — всё это «почти-движения», которые создают структуру опыта.

Замедленное видео шагающего человека показывает это особенно ясно: мелкие корректировки корпуса и рук становятся видимым языком микродинамик, которые обычно остаются незримыми, хотя именно они составляют основу интуитивного мышления.

Original size 701x802

«Диаграммы — это предварительные формулировки мысли в движении… они дают ощутить эластичность того, что почти ощущается»

— Эрин Мэннинг, Ландшафты отношений

Именно в таком «почти-чувствовании» раскрывается мыслительная сила мелких жестов. Они порождают мысль, становясь микропроводниками креативности. Здесь можно увидеть перекличку с исследованиями Мэри Оппеццо о влиянии ходьбы на творческое мышление: шаг, ритм, малые жесты тела действительно выступают катализаторами новых ассоциаций, открывают когнитивные траектории, которые невозможны в статичности. Но об этом мы поговорим чуть позже.

Original size 2880x1631

В цифровом контексте мелкие жесты усиливаются и становятся ещё заметнее. Сенсорные технологии, ИИ и интерфейсы тоже фиксируют микродвижения.

Взаимодействуя с цифровыми средами, тело становится более чувствительным к собственному движению: minor gesture принимает новые формы, становясь частью гибридной телесности. Интенсивности, которые раньше были скрыты, оказываются расширенными и открываются как новые режимы чувственности.

Биометрические данные как пример minor gesture. Биометрические сенсоры переводят качество прикосновения (силу, динамику) в цифровой сигнал, превращая микродвижения в материал для интерфейса.

Так Мэннинг показывает, что движение — это не просто физическое действие, а форма мышления, а мелкий жест предстает как генеративная сила различия. Через малость раскрывается потенциал становления, через интуитивную вибрацию проявляется возможность нового.

Original size 2880x1631

Порыв ветра (среда) вызывает микродвижения — колышет рубашку, заставляет менять положение, вызывает рефлекторное прищуривание. Жест рождается в со-бытии с миром.

И в этом открытии движение перестаёт быть телесной механикой: оно становится способом мыслить, способом быть, способом становиться — вместе с миром, в его бесконечных, едва уловимых, но мощных вариациях.

Ноги идей

Марили Оппеццо и Даниэль Шварц в исследовании «Позвольте своим идеям шагнуть» (2014) дают эмпирическое основание тому, что философы, художники и исследователи движения давно интуитивно ощущали: ходьба радикально усиливает творческое мышление. Их серия из четырёх экспериментов показала, что движение запускает поток идей здесь и сейчас, и этот эффект сохраняется даже после того, как человек снова садится.

Уже в аннотации авторы подчёркивают ключевой вывод:

«Ходьба способствует свободному потоку идей и представляет собой простой и эффективный метод для развития креативности и увеличения физической активности»

— Марили Оппеццо и Даниэль Шварц, Позвольте своим идеям шагнуть

Original size 2880x1526

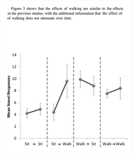
Эксперименты продемонстрировали, что 81% участников стали генерировать больше оригинальных идей, когда шли пешком, а не сидели. В другом исследовательском условии 88% участников снова показали рост творчества во время ходьбы, в то время как те, кто сидел оба раза, не улучшили результат: практика сама по себе не помогает — помогает именно движение. Авторы подчёркивают:

«Ходьба оказывала значительное влияние на креативность: средний прирост творческой продуктивности составил около 60%»

— Марили Оппеццо и Даниэль Шварц, Позвольте своим идеям шагнуть

Марили Оппеццо и Даниэль Шварц — Позвольте своим идеям шагнуть, 2014 Фрагменты исследования

Важнейший и почти парадоксальный вывод — эффект сохраняется даже после окончания прогулки. Те, кто сначала шёл, а затем садился, продолжали генерировать идеи на уровне тех, кто всё ещё продолжал идти:

«Сидение после ходьбы оказалось столь же эффективным, как ходьба после сидения. Это говорит о краткосрочных остаточных преимуществах ходьбы для креативности»

— Марили Оппеццо и Даниэль Шварц, Позвольте своим идеям шагнуть

Это означает, что ходьба меняет не просто ситуацию, а состояние когнитивной системы: дыхание, ритм, распределение внимания, телесный тонус — всё это перестраивает способ соединения идей. Показательно и то, что ходьба помогала даже тогда, когда участники смотрели в пустую стену на беговой дорожке.

Значит, можно сказать, что дело не во внешней стимуляции, а в самом акте движения.

Марили Оппеццо и Даниэль Шварц — Позвольте своим идеям шагнуть, 2014 Фрагменты исследования

Результаты Оппеццо и Шварца становятся важным мостом, соединяющим феноменологию движения (от Инголда до Мэннинг) с экспериментальной когнитивной наукой.

Если Инголд и Мэннинг показывают, что движение формирует мысль в самом процессе становления, то Оппеццо и Шварц демонстрируют, что этот процесс можно измерить, сравнить и статистически подтвердить. Дивергентное мышление, аффективные микродвижения, распределённая чувствительность — всё это не метафоры, а рабочие механизмы, которые оживают в простейшей практике: шаг, ещё шаг, и идея становится возможной.

Так прогулка превращается из бытового жеста в метод познания — телесный модус мышления, который связывает эмпирическую психологию, философию движения и современные цифровые практики, где свободный поток идей становится ресурсом не только человеческого, но и гибридного, распределённого интеллекта.

Эхо Шагов

В пятой главе «Думать шагом» мы обсудили, как спекулятивные и постгуманистические идеи можно воплотить через прогулку, рассматриваемую как форму мышления. Ходьба здесь становится способом познания: каждый шаг помогает генерировать мысль, соединяя тело с эмоциями и цифровыми слоями.

Идеи прогулки проходят через разные теории: от фланирования Фурнеля, где город читается как текст «пешечным стилем», через урбанистические наблюдения Зиммеля, который описывает blasé attitude как способ справляться с перегрузкой, и культурную историю Солнит, до антропологии Инголда, для которого восприятие идёт через стопы. Де Серто рассматривает прогулку как «речь пространства», тактику отклонений; Мэннинг — через «мелкие жесты», проявляющиеся как интуиция перед действием; Оппеццо показывает эмпирически, что ходьба повышает креативность на 60% и сохраняет эффект даже после завершения прогулки.

В итоге мышление в движении оказывается распределённой практикой: тело, город и цифровые элементы вместе создают рефлексию, превращая каждый шаг в своего рода лабораторию гибридного познания.

II. Сплетение траекторий

На протяжении пяти глав мы проследили эволюцию мышления от телесных истоков к распределённым, спекулятивным и постгуманистическим горизонтам, раскрывая, как цифровые среды и практики перестраивают субъективность.

Original size 2880x821

В первой главе, «Тело, в котором думает мысль», мы обсудили картезианский дуализм: от критики Декарта через Джеймса и Бергсона к Мерло-Понти и Массуми, где тело — источник мышления, возникающего из движения и взаимодействия. Мысль — это процесс, возникающий из взаимодействия тела и пространства.

Вторая глава, «Мысль вне головы», расширила перспективу: через ситуативное познание Лейва и Венгера, расширенный разум Кларка и Чалмерса, ANT Латура и постфеноменологию Айда объекты стали равноправными акторами. Мышление — свойство сети, где интерфейсы структурируют внимание, размывая границы внутреннего и внешнего.

Третья глава, «Мир, который думает без нас», ввела спекулятивный реализм: контингентность Мейясу, гиперобъекты Мортона и OOO Хармана. Они сделали цифровые среды автономными силами, подменяющими мышление, где прогулка — зона соприкосновения с контингентным.

Original size 2880x821

Интерлюдия, «Киборг выходит на прогулку», перевела автономию в этику со-бытия: через Харауэй, Феррандо, Брайдотти, Барад, Хейлз, Симондона и Сучман объекты стали партнёрами трансформации, где фрикции рождают множественную субъектность.

Пятая глава, «Думать шагом», материализовала теорию в практике: прогулка эволюционировала от Фурнеля и Зиммеля через де Серто и Мэннинг к Оппеццо, где шаг сплетается с цифровыми сигналами в гибридную рефлексию.

В совокупности главы выстраивают гипотезу: мышление — динамическая система, где цифровые объекты конституируют сознание, переходя от расширения к подмене.

Original size 2880x1332

Все это подводит нас к практическим выводам: как воплотить мышление в движении в артефакте?

Следующая глава, посвящённая продуктовому исследованию, материализует весь анализ в разработке приложения «Duma» — инструмента саморефлексии. «Duma» станет эмпирическим воплощением гипотезы и зеркалом гибридного разума, где пользователь, тело, среда и ИИ со-становятся, проверяя границы в реальном движении.

Chapter:
4
5
6
7
8
We use cookies to improve the operation of the website and to enhance its usability. More detailed information on the use of cookies can be fo...
Show more